Tocando Agora: ...

PAT de Hortolândia oferece 58 vagas de emprego abertas à concorrência de PcDs

Publicada em: 30/03/2026 15:24 -

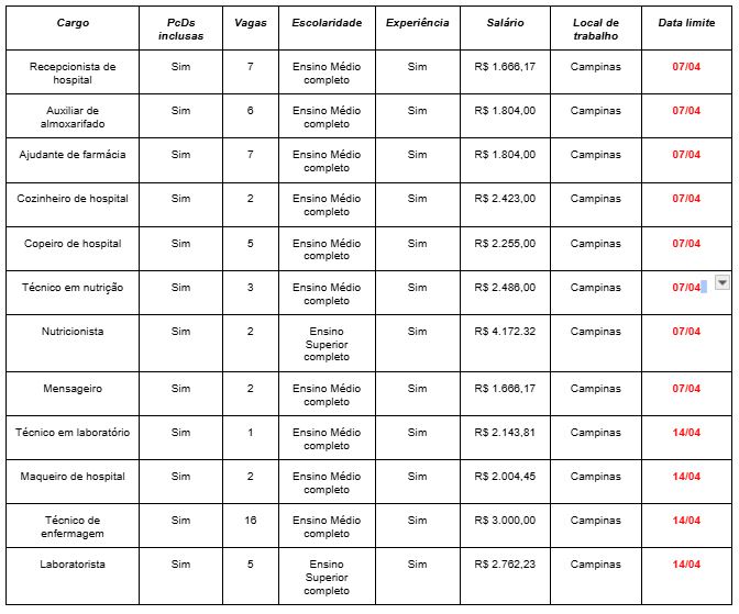
Órgão da Prefeitura divulga 16 vagas para técnico de enfermagem, sete para recepcionista de hospital; há também sete vagas para candidatos com Ensino Superior completo nos cargos de nutricionista e laboratorista

Hortolândia abre cada vez mais espaço para PcDs (pessoas com deficiência) dentro do mercado profissional. O Posto de Atendimento ao Trabalhador (PAT), órgão da Prefeitura, está com 58 vagas de emprego abertas à concorrência de PcDs. Há 16 vagas para técnico de enfermagem, sete para recepcionista de hospital. Já para quem tem Ensino Superior completo, há vagas para nutricionista e laboratorista (confira quadro abaixo).

Quem se interessou por alguma das vagas, pode candidatar-se de forma on-line no portal Emprega Brasil do governo federal (CLIQUE AQUI).

Quem preferir, pode candidatar-se presencialmente no PAT de Hortolândia, que fica na Praça de Atendimento do Paço Municipal, localizado na rua Professora Celina Franceschini Bueno, 100, Jardim Metropolitan. O órgão funciona de segunda a sexta-feira, das 8h às 16h30.

Para candidatar-se presencialmente às vagas, os interessados devem apresentar Carteira de Identidade (RG), Cadastro de Pessoa Física (CPF) e Carteira de Trabalho e Previdência Social (CTPS) nos formatos físico (em papel) ou digital. Currículo e comprovante de residência são documentos opcionais, e cuja apresentação não é obrigatória.

O PAT de Hortolândia reforça que as vagas ficam disponíveis até as datas limites, ou até os limites de candidatos estabelecidos pelos empregadores forem atingidos.

FATEC

Hortolândia também atua para fortalecer a formação profissional dos jovens. A Prefeitura atua para trazer outra importante instituição de Ensino Superior do governo do Estado, a Fatec (Faculdade de Tecnologia de São Paulo). A Prefeitura promoveu encontro com empreendedores e empresas, na Câmara Municipal, neste mês. 

O encontro marcou o início do projeto de estudo, entre Estado e município, para a possível implantação de um câmpus da Fatec em Hortolândia. De acordo com o presidente do Centro Paula Souza, Clóvis Dias, não há prazo definido para a implantação da Fatec no município. O Centro Paula Souza  é o órgão estadual responsável pela gestão das ETECs e Fatecs existentes nos municípios paulistas.

PEI

Hortolândia implanta outra ação importante para fortalecer a inclusão de PcDs (pessoas com deficiência) no mercado de trabalho. A Prefeitura iniciou os atendimentos do Polo de Empregabilidade Inclusiva (PEI) no Paço Municipal, no mês passado. 

Esse é um dos três programas que a Prefeitura passa a realizar com o governo do Estado. A parceria foi oficializada com a assinatura dos Termos de Cooperação Técnica, com a presença do secretário estadual de Direitos da Pessoa com Deficiência, Marcos da Costa, em janeiro deste ano.

SINE

A Prefeitura de Hortolândia tem outra boa notícia para quem procura emprego. Também em janeiro deste ano, o município fez a adesão ao Sistema Nacional de Emprego (SINE), gerido pelo governo federal.

O SINE é uma plataforma on-line que oferece vários serviços públicos referentes ao mercado de trabalho. A plataforma ainda conecta pessoas em busca de trabalho e empregadores que estão com vagas de emprego disponíveis. Por meio da plataforma, a população pode também ter acesso a atividades de qualificação e orientação profissional.

Confira abaixo os requisitos, valores dos salários, locais de trabalho e as datas limites das 58 vagas de emprego divulgadas pelo PAT de Hortolândia:

Compartilhe: x
COMENTÁRIOS
Comentário enviado com sucesso!
Carregando...